

11/05/2020
Για νέα και έγκυρη ενημέρωση κάντε κλικ ΕΔΩ
Ενεργά Προγράμματα Επιδοτήσεων < Ανοιχτά προγράμματα επιδοτήσεων για Υποβολές >
Εάν θέλετε να λαμβάνετε νέα και προσφορές από την εταιρεία μας εγγραφείτε στο newsletter μας Εδω
Εδώ, Δίνουμε Λύση
Δωρεάν και Άμεση Ενημέρωση δυνατοτήτων επιδότησης
ΆΜΕΣΗ ΕΝΗΜΕΡΩΣΗ ΧΡΗΜΑΤΟΔΟΤΙΚΩΝ ΕΡΓΑΛΕΙΩΝ ΓΙΑ ΔΑΝΕΙΟΔΌΤΗΣΗ
Η ILF consulting αρωγός πάντα στις υπηρεσίες των Δήμων, Δημοσίων Φορέων, Επιχειρήσεων, ΚΟΙΝΣΕΠ και Ιδιωτών για την διευκόλυνση και ορθολογιστικότερη εξυπηρέτηση τους, προσφέρει την εμπειρία της και αναλαμβάνει την δημιουργία φακέλου και όλη την σχετική διαδικασία, για την υποβολή προτάσεως χρηματοδότησης -επιδότησης
H ILF consulting ΔΕΝ έχει εξωτερικούς συνεργάτες πάρα μόνο στελέχη και τμήματα που απαρτίζουν το δυναμικό της .
Δυνατότητα ενημέρωσης – Εκτέλεσης υπηρεσιών και Συναντήσεων – Πανελλαδική κάλυψη και εκτός Ελλάδος.
Για περισσότερες πληροφορίες ελάτε σε επικοινωνία με το αρμόδιο τμήμα μας 2106926590
Ενοικίαση Γραφείων / Φορολογικές Έδρες / Υπηρεσίες Θερμοκοιτίδας / Αίθουσες Εκθέσεων – Σεμιναρίων – Meeting rooms
Φορολογικές Έδρες (Virtual office) από29,00 €
Για περισσότερες πληροφορίες ελάτε σε επικοινωνία με το αρμόδιο τμήμα μας 2106926590
Νέες αιτήσεις στο σύστημα Εργάνη οφείλουν να υποβάλλουν εργοδότες που οι επιχειρήσεις τους θα παραμείνουν κλειστές με κρατική εντολή όλο τον Μάιο, σύμφωνα με την Κοινή Υπουργική Απόφαση που δημοσιεύθηκε σήμερα. Οι σχετικές δηλώσεις μπορούν να υποβάλλονται από την 18.5.2020 έως και την 31.5.2020 και να αφορούν στο διάστημα από 1.5.2020 έως και την 31.5.2020. Η καταβολή της αποζημίωσης ειδικού σκοπού για τον μήνα Μάιο θα πραγματοποιηθεί από 5.6.2020 έως 10.6.2020.
Στον αντίποδα, δεν απαιτούνται αιτήσεις από τους εργαζόμενους, εκτός κι αν επιθυμούν να τροποποιήσουν στοιχεία του τραπεζικού τους λογαριασμού, ή στοιχείων της κύριας κατοικίας τους. Σε αυτήν την περίπτωση, οι τροποποιήσεις θα γίνονται από 19.5.2020 έως 1.6.2020.
Σύμφωνα με την ΚΥΑ, οι επιχειρήσεις που σταδιακά ξεκινούν τη λειτουργία τους εντός του Μαΐου μπορούν να θέσουν το 60% των εργαζομένων τους σε αναστολή, το πολύ για 28 ημέρες, ενώ οι επιχειρήσεις που πλήττονται, για 27. Οι σχετικές Υπεύθυνες Δηλώσεις θα μπορούν να υποβάλλονται συγκεντρωτικά από την 1.6.2020 έως και την 7.6.2020. Η καταβολή της αποζημίωσης ειδικού σκοπού θα πραγματοποιηθεί από 10.6.2020 έως και 12.6.2020. Και σε αυτήν την περίπτωση, απαιτείται δήλωση μόνο από την επιχείρηση, εκτός εάν ο εργαζόμενος επιθυμεί να προβεί σε τροποποιήσεις.
Προσοχή. Συμβάσεις εργασίας εργαζομένων που δεν έχουν ήδη τεθεί σε αναστολή μέχρι και την 10.5.2020 δεν μπορούν πλέον να τεθούν σε αναστολή, με εξαίρεση τις επιχειρήσεις του ΚΑΔ 86.10
Όπως ενδεικτικά παρουσιάζεται στην ΚΥΑ, οι αποζημιώσεις υπολογίζονται ως εξής:
Επιχειρήσεις – εργοδότες που επαναλειτουργούν τον μήνα Μάιο με εντολή δημόσιας αρχής
Η ΚΥΑ χωρίζει πλέον τις επιχειρήσεις σε δύο ομάδες. Αυτές που δεν θα επαναλειτουργήσουν με εντολή δημόσιας αρχής κατά το μήνα Μάϊο 2020, και αυτές που θα επαναλειτουργήσουν σταδιακά, ή που εξακολουθούν να πλήττονται βάσει των γνωστών ΚΑΔ του υπουργείου Οικονομικών.
Για την πρώτη κατηγορία, ξεκαθαρίζει ότι η αναστολή των συμβάσεων εργασίας παρατείνεται. Επίσης παρατείνεται η αναστολή συμβάσεων εργασίας εργαζομένων με σύμβαση εξαρτημένης εργασίας ορισμένου χρόνου που είχαν τεθεί σε αναστολή. Μετά το πέρας του διαστήματος της παράτασης αναστολής, η σύμβαση εργασίας συνεχίζεται για τον συμφωνηθέντα χρόνο που υπολείπεται, όταν η επιχείρηση – εργοδότης επαναλειτουργήσει.
Ξεκαθαρίζεται δε, ότι οι επιχειρήσεις-εργοδότες, για τις οποίες συνεχίζεται η αναστολή της λειτουργίας τους με εντολή δημόσιας αρχής και για όσο χρονικό διάστημα διατηρείται η ανωτέρω αναστολή της λειτουργίας τους, υποχρεούνται να μην προβούν σε μειώσεις προσωπικού με καταγγελία των συμβάσεων εργασίας. Σε περίπτωση πραγματοποίησής τους, οι καταγγελίες αυτές είναι άκυρες.
Για τους εργαζόμενους στις κλειστές επιχειρήσεις η αποζημίωση ειδικού σκοπού για ολόκληρο τον Μάιο ορίζεται σε 534 ευρώ. Δεν ξεκαθαρίζεται εάν η ασφαλιστική κάλυψη θα υπολογίζεται επί του ποσού των 534 ευρώ ή επί των μεικτών αποδοχών των εργαζόμενων.
Οι επιχειρήσεις – εργοδότες, των οποίων συνεχίζεται η αναστολή λειτουργίας τους με εντολή δημόσιας αρχής κατά τον μήνα Μάιο 2020, υποχρεούνται να υποβάλλουν για το μήνα Μάιο το ειδικό έντυπο με τίτλο «Υπεύθυνη Δήλωση Επιχειρήσεων – Εργοδοτών για την παράταση ή την ανάκληση αναστολών συμβάσεων εργασίας εργαζομένων τους» στο Π.Σ. «ΕΡΓΑΝΗ» του Υπουργείου Εργασίας και Κοινωνικών Υποθέσεων, με την οποία δηλώνουν:
α) την συνέχιση αναστολής της λειτουργίας τους με εντολή δημόσιας αρχής (βάσει ΚΑΔ, οριζόμενους από το Υπουργείο Οικονομικών, όπως ισχύουν κάθε φορά),
β) τους εργαζόμενους, των οποίων οι συμβάσεις εργασίας τους συνεχίζουν να τελούν σε αναστολή και
γ) τα στοιχεία του εκμισθωτή και του μίσθιου ακινήτου, εφόσον έχουν επαγγελματική μίσθωση ακινήτου προς εξυπηρέτηση της επιχειρηματικής δραστηριότητας που έχει ανασταλεί με εντολή δημόσιας αρχής.
Οι εργαζόμενοι οφείλουν να προβούν μόνο σε τροποποιήσεις, εφόσον το επιθυμούν,
Επιχειρήσεις που ανοίγουν ή πλήττονται
Παράταση αναστολής συμβάσεων εργασίας – ακυρότητα καταγγελίας συμβάσεων εργασίας – Ρήτρα διατήρησης θέσεων εργασίας
Σύμφωνα με την ΚΥΑ επιχειρήσεις-εργοδότες, που είτε πλήττονται σημαντικά και έχουν θέσει σε αναστολή τις συμβάσεις εργασίας μέρους ή του συνόλου των εργαζομένων τους, είτε επαναλειτουργούν μετά την άρση της αναστολής λειτουργίας τους με εντολή δημόσιας αρχής, δύνανται να παρατείνουν την αναστολή των συμβάσεων εργασίας εργαζομένων τους που έχουν ήδη τεθεί σε αναστολή μέχρι του ποσοστού 60% αυτών. Το χρονικό διάστημα της παράτασης είναι κατ’ ανώτατο όριο τριάντα (30) ημέρες και πάντως όχι πέραν της 31 Μαΐου 2020.
Στο παράρτημα της ΚΥΑ περιλαμβάνεται μια σειρά επιχειρήσεων στις οποίες είναι δυνατή η παράταση αναστολών συμβάσεων εργασίας εργαζομένων τους σε ποσοστό μεγαλύτερο του προβλεπομένου. Μάλιστα, διευκρινίζεται ότι σε περίπτωση κατά την οποία από τον υπολογισμό του ποσοστού προκύπτει δεκαδικός αριθμός 0,50 και πάνω γίνεται στρογγυλοποίηση προς τα πάνω.
Σε περίπτωση επιχείρησης-εργοδότη με έναν εργαζόμενο του οποίου η σύμβαση τελεί σε αναστολή, αυτή μπορεί να παραταθεί.
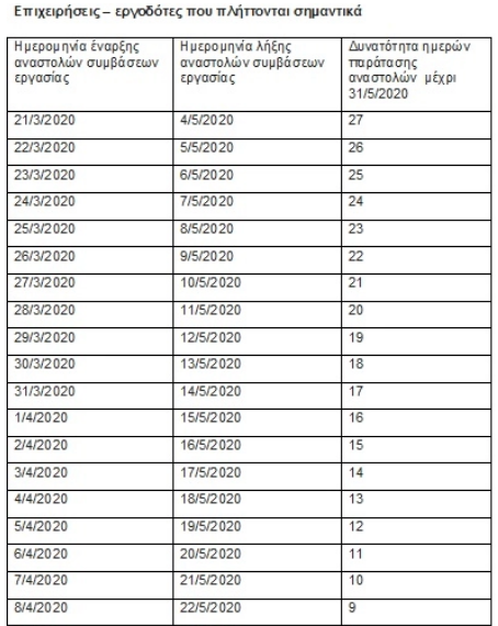
Στις περιπτώσεις τόσο των πληττόμενων όσο και αυτών που επαναλειτουργούν, ισχύει και το μέτρο της παράτασης της αναστολής των συμβάσεων εργασίας για το μήνα Μάιο σταδιακά, για διαφορετικό αριθμό εργαζομένων και μέχρι του ποσοστού 60% αυτών. Ο χρόνος παράτασης της αναστολής συμβάσεων εργασίας κατ΄ ανώτατο όριο μπορεί να είναι 27 ημέρες για τις περιπτώσεις πληττομένων επιχειρήσεων και 28 ημέρες για τις επιχειρήσεις που επαναλειτουργούν εντός του μήνα Μαΐου και σε κάθε περίπτωση εξαρτάται από το χρόνο που λήγει η εκάστοτε αναστολή σύμβασης εργασίας ως αναλύεται κατωτέρω:
Συμβάσεις εργασίας εργαζομένων που δεν έχουν ήδη τεθεί σε αναστολή μέχρι και την 10.5.2020 δεν μπορούν πλέον να τεθούν σε αναστολή
Επιχειρήσεις-εργοδότες που κάνουν χρήση του μέτρου της παράτασης των αναστολών, έως την 31.5.2020, απαγορεύεται ρητά να προβούν σε καταγγελία των συμβάσεων εργασίας για το σύνολο του προσωπικού τους και, σε περίπτωση πραγματοποίησής της, αυτή είναι άκυρη. Παράλληλα, υποχρεούνται μετά τη λήξη του χρόνου της αναστολής των συμβάσεων εργασίας του προσωπικού τους, να διατηρήσουν, για χρονικό διάστημα 45 ημερών τον ίδιο αριθμό θέσεων εργασίας και με το ίδιο είδος σύμβασης εργασίας (συμβάσεις πλήρους ή μερικής ή εκ περιτροπής απασχόλησης) . Στην έννοια του ιδίου αριθμού θέσεων εργασίας δεν συμπεριλαμβάνονται οι αποχωρούντες οικειοθελώς από την εργασία τους, οι αποχωρούντες λόγω συνταξιοδότησης, καθώς και οι εργαζόμενοι ορισμένου χρόνου των οποίων η σύμβαση εργασίας τους λήγει κατά τη διάρκεια του ανωτέρω χρονικού διαστήματος των 45 ημερών.
Μάλιστα, διευκρινίζεται ότι συμβάσεις εργασίας εργαζομένων με σύμβαση εξαρτημένης εργασίας ορισμένου χρόνου, που είχαν τεθεί σε αναστολή, δύναται να παραταθεί η αναστολή τους. Μετά το πέρας του διαστήματος παράτασης της αναστολής, η σύμβαση εργασίας συνεχίζεται για τον συμφωνηθέντα χρόνο που υπολείπεται.
Αποζημίωση Ειδικού Σκοπού και λοιπά μέτρα
Οι εργαζόμενοι, των οποίων η σύμβαση εργασίας σε επιχειρήσεις- εργοδότες που, είτε πλήττονται σημαντικά και έχουν θέσει σε αναστολή τις συμβάσεις εργασίας μέρους ή του συνόλου των εργαζομένων τους, είτε επαναλειτουργούν μετά την άρση της αναστολής λειτουργίας τους με εντολή δημόσιας αρχής, για το μήνα Μάϊο 2020 είναι δικαιούχοι αποζημίωσης ειδικού σκοπού κατ΄ αναλογία των ημερών παράτασης αναστολής των συμβάσεων εργασίας τους, με βάση υπολογισμού το ποσό που αντιστοιχεί στις 30 ημέρες και ανέρχεται στα 534 ευρώ. Η αποζημίωση ειδικού σκοπού είναι ακατάσχετη, αφορολόγητη και δεν συμψηφίζεται με οποιαδήποτε οφειλή.
Στους εργαζόμενους, επιχειρήσεων-εργοδοτών της ανωτέρω παραγράφου παρέχεται ασφαλιστική κάλυψη υπολογιζόμενη επί της αναλογίας των ημερών αναστολής της σύμβασης εργασίας τους.
Διαδικασία λήψης αποζημίωσης ειδικού σκοπού
Επιχειρήσεις-εργοδότες, που είτε πλήττονται σημαντικά και έχουν θέσει σε αναστολή τις συμβάσεις εργασίας μέρους ή του συνόλου των εργαζομένων τους, είτε επαναλειτουργούν μετά την άρση της αναστολής λειτουργίας τους με εντολή δημόσιας αρχής και προβαίνουν σε παράταση αναστολής συμβάσεων εργασίας των εργαζομένων τους, υποχρεούνται να υποβάλουν συγκεντρωτικά για το μήνα Μάιο ειδικό έντυπο με τίτλο «Υπεύθυνη Δήλωση Επιχειρήσεων – Εργοδοτών για την παράταση ή την ανάκληση αναστολών συμβάσεων εργασίας εργαζομένων τους» στο Π.Σ. «ΕΡΓΑΝΗ» του Υπουργείου Εργασίας και Κοινωνικών Υποθέσεων, με την οποία δηλώνουν την ημερομηνία επαναλειτουργίας τους, τους εργαζόμενους, των οποίων παρατείνεται η αναστολή των συμβάσεων εργασίας τους και συνεχίζουν να τελούν σε αναστολή καθώς και τα στοιχεία του εκμισθωτή και του μίσθιου ακινήτου, εφόσον έχουν επαγγελματική μίσθωση ακινήτου προς εξυπηρέτηση της επιχειρηματικής δραστηριότητας που έχει ανασταλεί με εντολή δημόσιας αρχής.
Οι σχετικές Υπεύθυνες Δηλώσεις του παρόντος μπορούν να υποβάλλονται συγκεντρωτικά από την 1.6.2020 έως και την 7.6.2020 και να αφορούν τα διαστήματα παράτασης της αναστολής σύμβασης εργασίας έως και την 31.5.2020. Η καταβολή της αποζημίωσης ειδικού σκοπού θα πραγματοποιηθεί από 10.6.2020 έως και 12.6.2020.
Περαιτέρω μέτρα στήριξης για επιχειρήσεις που επαναλειτουργούν είτε πλήττονται
Α) Οριστική ανάκληση συμβάσεων εργασίας
επιχειρήσεις – εργοδότες του ιδιωτικού τομέα, που επαναλειτουργούν μετά την άρση της αναστολής λειτουργίας τους με εντολή δημόσιας αρχής, κατ’ εφαρμογή των σχετικών διατάξεων που αφορούν στην αντιμετώπιση των συνεπειών του κινδύνου διασποράς του κορωνοϊού COVID-19, δύνανται να προβαίνουν σε ανάκληση της αναστολής των συμβάσεων εργασίας τουλάχιστον για το 40% των εργαζομένων τους.
Επιχειρήσεις – εργοδότες του ιδιωτικού τομέα, που πλήττονται σημαντικά και έχουν θέσει σε αναστολή τις συμβάσεις εργασίας μέρους ή του συνόλου των εργαζομένων τους, κατ’ εφαρμογή των σχετικών διατάξεων που αφορούν στην αντιμετώπιση των συνεπειών του κινδύνου διασποράς του κορωνοϊού COVID-19, δύνανται να προβαίνουν σε ανάκληση της αναστολής των συμβάσεων εργασίας τουλάχιστον για το 40% των εργαζομένων των οποίων οι συμβάσεις τελούν σε αναστολή και εφόσον η αναστολή έχει διατηρηθεί κατ’ ελάχιστο για δεκαπέντε (15) ημέρες.
Οι συμβάσεις εργασίας των εργαζόμενων των οποίων ανακαλείται οριστικά η αναστολή δεν δύναται να τεθούν εκ νέου σε αναστολή.
Οι εργαζόμενοι των οποίων οι συμβάσεις τελούν σε αναστολή βάσει των παραπάνω, κατά το μήνα Μάιο, είναι δικαιούχοι αποζημίωσης ειδικού σκοπού κατ’ αναλογία των ημερών διάρκειας της αναστολής αυτής, με βάση υπολογισμού το ποσό των 534 ευρώ που αντιστοιχεί στις 30 ημέρες.
Επιχειρήσεις – εργοδότες του ιδιωτικού τομέα, για τις οποίες συνεχίζεται η αναστολή λειτουργίας τους με εντολή δημόσιας αρχής κατά τον μήνα Μάιο 2020 δεν επιτρέπεται να προβούν σε οριστική ανάκληση αναστολής συμβάσεων εργασίας των εργαζομένων τους.
Οι επιχειρήσεις – εργοδότες που προβαίνουν σε ανάκληση της αναστολής των συμβάσεων εργασίας μέρους των εργαζομένων τους, μπορούν να τους βάλουν σε εκ περιτροπής εργασία σε ποσοστό 50% επί των εργαζόμενων των οποίων ανακλήθηκε η αναστολή των συμβάσεων εργασίας τους.
Ενεργά Προγράμματα Επιδοτήσεων < Ανοιχτά προγράμματα επιδοτήσεων για Υποβολές >
Εγγύηση επιτυχίας επιδοτούμενων προγραμμάτων και δωρεάν υπηρεσίες
Εάν θέλετε να λαμβάνετε νέα και προσφορές από την εταιρεία μας εγγραφείτε στο newsletter μας Εδω
Εδώ, Δίνουμε Λύση
Ενημερωθείτε άμεσα, έγκαιρα και έγκυρα για τα επιδοτούμενα προγράμματα και όλα τα χρηματοδοτούμενα εργαλεία
* Κάνοντας εγγραφή συμφωνείτε να γραφτείτε, με σκοπό την ενημέρωση σας, για επιδοτούμενα προγράμματα, χρηματοδοτικά εργαλεία.
* Έχετε το δικαίωμα ανά πάσα στιγμή να ζητήσετε τη διαγραφή σας.
